1. 设计目标与工具说明
- 使用 BJT(Bipolar Junction Transistor) 设计一个电压放大倍数为 2 倍 的共射放大电路,并可扩展至 5 倍、10 倍等任意整数倍。
- 使用仿真软件:Multisim(视频中误称为 Martin Seymour,实为 Multisim;该软件常用于教学阶段的模拟电路仿真,工作中较少使用)。
- 适用场景:学习晶体管基本放大原理、偏置设置、交流通路分析及参数调优。

2. 共射放大电路基础结构搭建
- 电路拓扑为典型 共射极放大电路(Common Emitter Amplifier):
- 输入信号源:交流电压源 V1(初始设为 10 mVpp,频率 1 kHz);
- 地符号:必须接入参考地;
- 耦合电容:输入端加隔直电容 C1(10 μF),输出端加隔直电容 C2(10 μF);
- 晶体管:选用通用 NPN 型 2N2222(或 2N3904 等类似型号);
- 电阻元件:
- 基极偏置电阻 R1、R2(构成分压式偏置);
- 集电极负载电阻 R3/Re(初始设为 1 kΩ);
- 发射极电阻 R4/Re(初始设为 1 kΩ);
- 电源:直流电源 VCC = 12 V。
3. 偏置电路设计与参数设定
- 偏置目的:使 BJT 工作在放大区(Active Region),确保静态工作点(Q-point)稳定。
- 分压式偏置结构:
- R1 = 50 kΩ(原设 120 kΩ 过大,后改为 50 kΩ 以降低基极电流影响);
- R2 = 10 kΩ;
- Re = 1 kΩ;
- Rc = 1 kΩ;
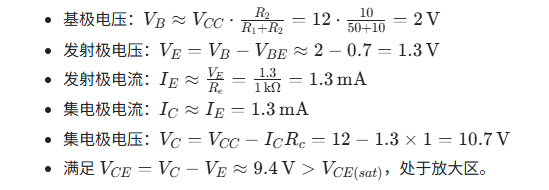
- 静态工作点估算(近似):

4. 交流通路分析与放大倍数原理
-
交流小信号模型下,电容视为短路,直流电源接地(对上面电路进行等效,基于叠加定理,忽略直流情况,只考虑交流源);
-
电压增益公式(忽略 rπ影响,且无发射极旁路电容时):为啥前面带负号,实际意思是相位相反,输出滞后于输入180°


即理论放大倍数为 1 倍(绝对值),与仿真结果一致。
-
关键结论:无旁路电容时,发射极电阻 RE 引入负反馈,限制增益;增益由 RC/RE 决定。
5. 放大倍数调节方法(2倍、5倍)
- 方法:调整 RE 或 RC的阻值比例
- 扩展至 5 倍:
- 令 RC/RE=5,如 RC=1 kΩ,则 RE=200 Ω;
6. 提升放大倍数:旁路电容的作用:
- 问题:仅靠减小 RE 会降低输入阻抗、稳定性变差,且受 re′限制,难以获得高增益(如百倍)。
- 解决方案:在发射极电阻 RE 两端并联 旁路电容 CE(如 10 μF 或更大)。
- 原理:
- 直流路径:RE仍提供稳定偏置;
- 交流路径:CE对中频信号近似短路 ⇒ 交流等效 RE→0;
- 此时电压增益变为:

若 RC=10 kΩ,则 Av≈−500,可达百倍以上。
- 仿真结果:输出幅度显著增大,达到输入的 上百倍(如 10 mVpp → >1 Vpp),验证旁路电容对增益的大幅提升作用。
7. 仿真验证与波形观测
- 仿真步骤:
- 搭建电路 → 设置元件参数;
- 添加电压探针(Probe)于输入/输出节点;
- 运行瞬态分析(Transient Analysis),时间跨度 ≥ 2 个周期;
- 调出示波器(Oscilloscope),观察波形幅值、相位、失真。
- 关键观测点:
- 输入/输出同频正弦波;
- 输出与输入反相(共射特性);
- 幅值比即为电压增益绝对值;
- 无削波 → 工作点合适,未进入饱和/截止区。
- 注意事项:
- 信号源幅度不宜过大(避免非线性失真),用 10 mVpp 合理;
- 电容容值需满足:XC≪RE(中频段),例如 10 μF 在 1 kHz 时 XC≈16 Ω,远小于 1 kΩ,满足条件。

网硕互联帮助中心







评论前必须登录!
注册