大模型在继发性甲状旁腺功能亢进预测与治疗方案制定中的应用研究
文章浏览阅读530次,点赞9次,收藏10次。《大模型在继发性甲状旁腺功能亢进诊疗中的创新应用》 摘要: 本研究探索大模型技术在继发性甲状旁腺功能亢进(SHPT)...
文章浏览阅读530次,点赞9次,收藏10次。《大模型在继发性甲状旁腺功能亢进诊疗中的创新应用》 摘要: 本研究探索大模型技术在继发性甲状旁腺功能亢进(SHPT)...
文章浏览阅读739次,点赞30次,收藏5次。在当今数字化时代,电商行业竞争日益激烈,企业往往需要在多个平台(如淘宝、京东、抖音等)同时开展营销推广活动。然而,这...
文章浏览阅读47次,点赞2次,收藏2次。省级以上 “专精特新” 企业的用地需求优先纳入供地计划,工业物业产权分割转让给 “专精特新” 企业时可不受部分限制,向专...

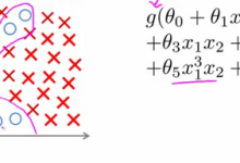
文章浏览阅读339次,点赞8次,收藏2次。无论是线性回归还是逻辑回归都有这样一个缺点,即:当特征太多时,计算的负荷会非常大。下面是一个例子,使用x1x_1x1...

文章浏览阅读186次。OpenAI 联合创始人、首席执行官萨姆・奥尔特曼将 GPT-5 类比为可以按需召唤的 “博士级专家”,能够随时助力用户达成各种复杂目标,...

文章浏览阅读127次,点赞10次,收藏2次。近年来,以 SGLang 和 vLLM 为代表的新一代推理框架凭借显著的性能优势,逐渐成为工业界部署大模型的首选工具...

文章浏览阅读234次,点赞8次,收藏2次。网络结构是卷积神经网络(CNN)发展的关键。其中,网络结构的改进至关重要。本文将介绍一种具有创新意义的卷积神经网络——...

文章浏览阅读902次,点赞25次,收藏10次。除了CVE-2025-53770之外,该报告还涵盖了其他三个相关的SharePoint漏洞,这些漏洞用于形成&qu...

文章浏览阅读20次。Wildberries 对中国跨境卖家而言,是开拓俄罗斯及周边市场的绝佳机会,但本土化运营、物流管理、账号安全是成败关键。

文章浏览阅读924次,点赞28次,收藏30次。本文是 “从 0 开始的 AI 服务器管理教程” 系列的首篇文章。本文将带你回顾那些年我们踩过的坑,并通过一个完整...