济南大学团队在《Separation and Purification Technology》发表重要研究成果,
采用行恒科技NANO MF-5000微纳米气泡发生设备,
通过引入空气微纳米气泡(AMNBs)技术,成功实现了次氯酸钠(NaClO)清洗剂用量的显著降低与超滤膜老化效应的有效抑制。本研究系统阐明了AMNBs与NaClO的协同作用机制,为水处理中超滤膜的长期稳定运行提供了创新解决方案。
研究背景与意义
超滤膜技术在水处理中应用广泛,但膜污染问题严重影响系统性能和使用寿命。化学清洗尤其是NaClO清洗虽能有效去除污染物,但高浓度清洗剂会加速膜老化。本研究创新性地将AMNBs与NaClO结合,在保证清洗效率的前提下,将NaClO用量从0.1%降至0.03%,显著减轻了膜老化现象。
实验设计与方法
研究体系构建
以PVDF超滤膜为研究对象,以阴离子聚丙烯酰胺(APAM)为模型污染物,系统比较了单独NaClO清洗与AMNBs-NaClO联合清洗的效果。实验采用死端过滤系统,在0.05 MPa跨膜压力下进行污染和清洗过程。
参数优化与表征
通过多指标系统评估清洗效果。包括通量恢复率、膜性质变化(化学特性、接触角、孔径分布、机械强度等)以及AMNBs的特性分析(Zeta电位、尺寸分布、聚集稳定性)。
结果与讨论
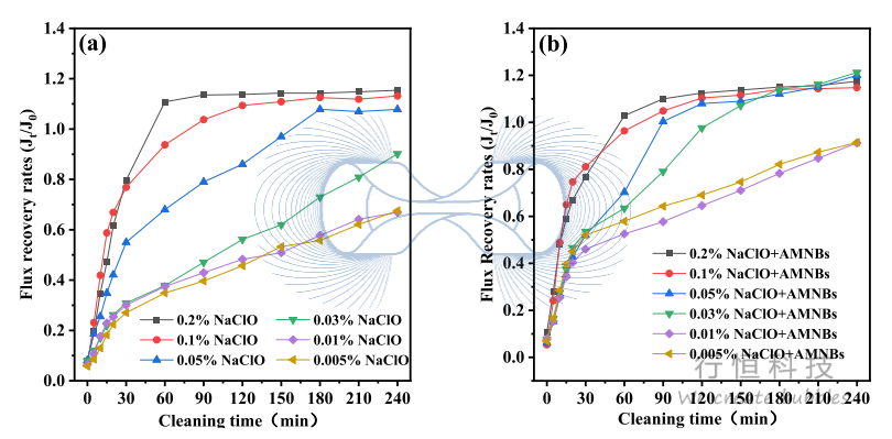
清洗效率提升与试剂用量减少
AMNBs使NaClO用量减少70%而不影响清洗效率。单独使用NaClO时,最佳浓度为0.1%,清洗150分钟后通量恢复率可达1.11;而结合AMNBs后,0.03% NaClO即可在相同时间内实现相当的通量恢复(1.07)。
清洗效率对比分析:

膜老化抑制效果显著
降低NaClO浓度有效延缓膜老化进程。与0.1% NaClO相比,0.03% NaClO处理后的膜在化学特性、润湿性、孔径变化等方面表现出更好的稳定性。
膜性质随时间变化规律:

抗污染性能保持良好
低浓度清洗后膜的抗污染性能仍保持优异。即使在NaClO浓度降至0.03%的情况下,膜的污染阻力、通量恢复率等关键指标仍维持在理想水平。
膜污染行为详细分析:

机理阐释
AMNBs特性变化与协同机制
AMNBs在NaClO溶液中形成功能性微区。Zeta电位分析表明,ClO-离子在AMNBs界面富集,形成高浓度反应区域,显著增强清洗效果。
AMNBs特性参数变化:

协同作用机制示意图
多机制共同作用实现高效清洗。包括微功能区形成、尺寸效应和聚集稳定性三个主要机制,共同贡献于清洗效率的提升和试剂用量的减少。
协同机制示意图:

创新点与学术贡献
理论创新
技术价值
- 效率提升:清洗效率相当前提下试剂用量减少70%
- 老化抑制:显著延长膜使用寿命
- 成本降低:减少化学品消耗和运行成本
- 环境友好:降低二次污染风险
结论与展望
本研究通过系统的实验设计和机理分析,证实了AMNBs与低浓度NaClO的协同清洗策略能够有效平衡清洗效率与膜老化矛盾。主要结论包括:
未来研究方向:
文献信息:Separation and Purification Technology 361(2025) 131370
(原文献链接: https://doi.org/10.1016/j.seppur.2024.131370)
产品官网:nanoscientific.cn/ 查看更多行恒科技设备的详细技术参数与产品手册
公司官网:http://www.xhtec.cn 了解行恒科技完整产品线、行业解决方案与最新案例
#微纳米气泡#行恒科技#MF-5000#次氯酸钠#超滤膜清洗#膜老化抑制#水处理技术
本项研究由济南大学土木建筑学院团队完成,为超滤膜技术的长期稳定运行提供了重要的理论支撑和技术方案。
网硕互联帮助中心





评论前必须登录!
注册