本文重点
在前面的课程中我们学习了总体分布和样本分布,本文我们将学习抽样分布
抽样分布
统计量既然依赖于样本,而后者又是随机变量,故统计量也是随机变量,有自己的分布,该分布称为统计量的抽样分布。
抽样分布定理
既然统计量是随机变量,那么随机变量有的它也都有,之前我们介绍过中心极限定理,那么统计量也是满足的。
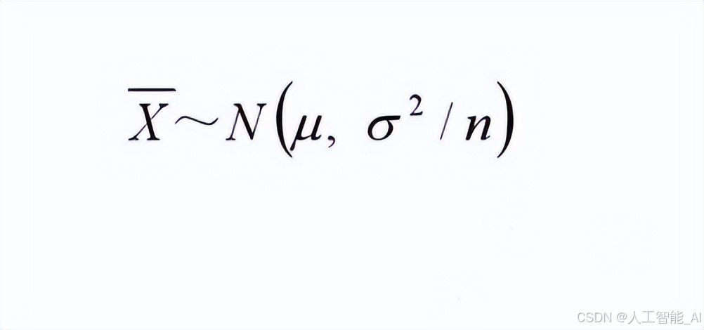
设X1,X2,…,Xn是来自均值为μ , 方差为σ² 的总体的简单样本,则当n充分大时,近似地有

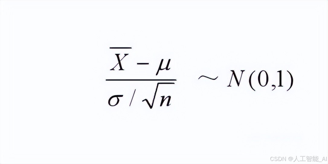
这个意思就是说,当n足够大时,随机变量均值服从均值为μ,方差为σ²/n的分布。我们可以对其进行标准化:

应用
样本均值分布函数的近似计算

样本均值与μ的偏差在一定范围内的概率的近似计
网硕互联帮助中心








评论前必须登录!
注册