
🎓作者简介:科技自媒体优质创作者 🌐个人主页:莱歌数字-CSDN博客 💌公众号:莱歌数字(B站同名) 📱个人微信:yanshanYH
211、985硕士,从业16年+
从事结构设计、热设计、售前、产品设计、项目管理等工作,涉足消费电子、新能源、医疗设备、制药信息化、核工业等领域。
熟练运用Flotherm、FloEFD、XT、Icepak、Fluent等ANSYS、西门子系列CAE软件,解决问题与验证方案设计,十多年技术培训经验。
专题课程
Flotherm电阻膜自冷散热设计(90分钟实操)
Flotherm通信电源风冷仿真教程(实操)
基于FloTHERM电池热仿真(瞬态分析)
基于Flotherm的逆变器风冷热设计(零基础到精通)实操
站在高处,重新理解散热。
更多资讯,请关注B站/公众号【莱歌数字】,有视频教程~~
电子设备功率密度的增加将传统风冷技术推到其性能极限。由于空气作为工作流体,设计能在设备级散热超过100 W/cm2的散热器越来越困难。液冷散热器由于其更好的性能和更小的尺寸,已成为公认的风冷散热器的替代品。在液体冷却技术中,微通道散热器是最有前途的器件级冷却技术。1981年,塔克曼和皮斯[1]的实验表明,直接蚀刻在硅晶片背面的单层微通道是非常有效的。使用水作为工作流体,他们证明了这些微通道可以消除790 W/cm2的热量。
微通道散热器背后的魔力在于它们能够实现较高的传热系数,并创造一个大的表面积。液冷散热器的散热能力由固体材料中的热传导和流体中的热对流决定。通常,当使用高导电性材料制造散热器时,对流是降低热阻的主要因素。对于壁温不变或壁热流恒定的方形通道中完全发展的层流,努塞特数Nu是一个常数。传热系数h可以由下式计算得到,

其中,k为流体的导热系数,Dh为通道的水力直径。上式表明,传热系数与通道水力直径成反比。通过减小通道尺寸,可以获得更大的传热系数。
在一个方形通道中完全发展的层流的摩擦系数也是一个常数。
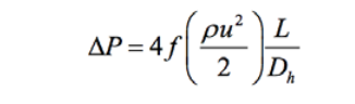
通过通道的压降δP计算公式如下,

其中,f为摩擦因子,u为流速,L为通道长度。
可以看出,压降也与通道的水力直径成反比。所以对于恒定的流速,通道越小,意味着压降就越大。
结合上述两个公式,在提高微通道散热器的热性能和水力性能之间存在着矛盾点。
为了降低热阻,通道的尺寸应减小。但是,当通道尺寸减小时,通过通道的压降就会增加。这意味着需要更多的动力来驱动流量,即对外部的泵性能需求增加。

图片来源:2020 natue embeded cooling
提高微通道性能的方法有很多种。其中一些目的是增加对流传热系数,一些专注于降低压降,一些致力于这两个目标。用于提高性能的一般方法可以总结如下:
-
更大的高宽比通道
-
鳍增强
-
流量优化
-
多层微通道结构
-
微通道内两相流
下面将讨论这些方法的优点和局限性。
1.高长宽比通道
使用较深的通道会增加对流传热,减少微通道热器的压降。比较图1中两种不同的通道几何图形。

图1.微通道布置:(a)正方形通道,(b)矩形通道。
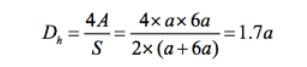
对于正方形槽布置,水力直径为2a,边界周长为24a,槽总横截面面积为12a²。对于高宽比为6的矩形通道布置,通道水力直径为,

总周长为56a,且总的截面面积为24a²。矩形通道具有较小的水力直径和更大的周长和横截面面积。
这意味着它可以实现更小的热阻和压降。它的工作原理就像一个带有长鳍的风冷散热片。但微通道结构的鳍片高度存在限制。这种限制受到制造技术和固体材料内部传导的限制。
一方面,在微观尺度上难以形成具有均匀壁厚的大长宽比通道。
另一方面,由于其对流传热系数较高,微通道翅片效率随着通道高度的增加而迅速降低。
这意味着当超过一定的通道高度,整体热阻将不会改变,并且固体内部的热阻变得显著。
因此存在一个优化的宽高比,热工程师必须找到性能和成本之间的最佳解决方案。
2.鳍增强
有很多方法可以提高鳍的性能,如下图2所示的四种鳍设计。
图2(a)是常规的直鳍布局。图2(b)显示了具有分解翅片的布局,这将改善流量混合,降低压降。图2(c)显示了具有交错翼片的布局。这种布局可以打破边界层,在单个翅片上获得更大的传热系数。图2(d)显示了复杂的菱形鳍片布局。

图2.鳍布局设计(a)直鳍,(b)断鳍,(c)交错鳍,(d)交错菱形鳍。
3.流量优化
改变微通道散热器的结构以创造更好的流量是获得更好的散热器性能的另一种方法。
图3说明了流优化的一个示例。在这个微通道散热器中,有两个入口和两个出口。该流在中间被分开。该结构的热性能与图2(a).所示的直鳍布局相似由于流量长度减少了一半,所以与图2(a)相比,压降也减少了一半。

图3.具有多个入口、出口和分流的微通道
4.多层微通道结构的优点
采用多层微通道结构可以实现良好的热工性能和水力性能。图4显示了两个多层微通道散热器的例子。

图4.多层微通道热槽,(a)正方形通道,(b)矩形通道。
多层结构使通道水力直径较小,导致传热系数高,增加了固体和液体之间的湿润面积。这有助于降低总热阻。它还使通道横截面面积较大,从而导致压降较小。
该多层结构还可以克服制造技术造成的通道高度限制,并可以使散热器变厚。
但是,这也意味着在创建多层微通道结构时会增加成本和制造加工难度。
5.微通道内两相流
微通道内沸腾产生的传热系数是单相流的几倍。
将两相流引入微通道是极高热流量应用的自然解决方案,如激光二极管、功率晶体管和雷达阵列。

图片来源:2020 natue embeded cooling
两相流也带来了技术挑战,如高压降、流动稳定性和耐久性。
上面所讨论的微通道增强方法并不是孤立的。它们可以根据项目的热要求、尺寸限制和预算将它们组合在一起。
随着对微通道传热技术的进一步认识和制造技术的进步,微通道传热器将在电子冷却中得到更多的应用。

图片来源:2020 natue embeded cooling
其实,此类设计思维都是相通的,比如此前对于叶脉冷泵技术的内容,对水冷板水道设计的启发,大家也可以借鉴到实际项目设计中。
网硕互联帮助中心








评论前必须登录!
注册