从挫折到成功:我的机器学习转型日记
第一章 测试思维遭遇算法黑箱(第1-30天) 技术冲突场景 黑盒困境:面对随机森林的预测结果,习惯性执...
第一章 测试思维遭遇算法黑箱(第1-30天) 技术冲突场景 黑盒困境:面对随机森林的预测结果,习惯性执...
题目大意 给定一个 R×CR \\times CR×C 的正整数矩阵,已知它的 累积行和 与 累积列和 ,要求还原出原矩阵的所有 R...
好的,我们来解析Java中 Object 类的核心方法。作为所有Java类的根父类,Object 提供了几个基础方法,...
一、前言:为什么用 Hash 存储对象?在 Redis 中存储用户、商品、配置等结构化数据时,你是否面临以下选择...

Python对象的自省机制:深入探索对象的内心世界 🕵️♂️1. 什么是自省?为什么它很重要?2. ...


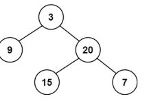
二叉树理论基础 二叉树类型 满二叉树 满二叉树:如果一棵二叉树只有度为0的结点和度为2的结点,并且度为0的结点在同一层上...

ChIP-seq(染色质免疫沉淀测序)和近年来大火的CUT&Tag(靶向剪切与标记技术)是表观遗...

摘要 在光谱分析、干涉测量和光通信领域的许多应用中,分束器设备都发挥着至关重要的作用。一种常见的分束器是基于受抑全内反射(FTIR&...
PreparedStatement 与 Statement 全面对比 1. 基础区别 import java.sql.*;public class Statem...