第一部分:问题描述
给你二叉树的根节点 root ,返回其节点值的 层序遍历 。 (即逐层地,从左到右访问所有节点)。
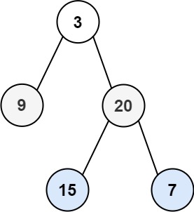
示例 1:

输入:root = [3,9,20,null,null,15,7]
输出:[[3],[9,20],[15,7]]
示例 2:
输入:root = [1]
输出:[[1]]
示例 3:
输入:root = []
输出:[]
第二部分:代码实现
(1)核心思路
- 核心容器:用 deque 队列实现 “先进先出”,保证遍历顺序;
- 分层关键:通过 level_size 锁定当前层节点数,避免跨层处理;
- 核心逻辑:处理当前层节点并收集值,同时入队
网硕互联帮助中心






评论前必须登录!
注册