计算机毕业设计springboot西安市旅游推荐app_365zc (配套有源码 程序 mysql数据库 论文)
本套源码可以在文本联xi,先看具体系统功能演示视频领取,可分享源码参考。
随着互联网技术的飞速发展,旅游行业也在不断借助数字化手段提升用户体验和服务效率。近年来,西安市凭借其深厚的历史文化底蕴和丰富的旅游资源,吸引了大量国内外游客。然而,面对众多的旅游景点和复杂的旅游信息,游客往往难以高效地规划行程。因此,开发一个功能强大且用户友好的旅游推荐应用显得尤为重要。本文将介绍一个基于Spring Boot框架的西安市旅游推荐系统的设计与实现,旨在为游客提供一站式的旅游信息查询、推荐和管理服务。
该系统的主要功能包括:
-
用户管理:支持用户注册、登录、个人信息修改等功能。
-
景点信息查询:用户可以浏览景点的详细信息,包括名称、分类、图片、等级、地址、开放时间及介绍等。
-
景点攻略管理:提供景点攻略的发布、查看、修改和删除功能,方便用户分享和获取旅游经验。
-
旅游路线推荐:根据用户需求推荐合适的旅游路线,展示路线详情、游玩景点、游玩时间和路线图片。
-
出行方式管理:提供景点的出行方式信息,包括交通工具和出行详情。
-
我的收藏管理:用户可以收藏感兴趣的景点、攻略和旅游路线,方便后续查看。
-
留言板功能:用户可以在留言板上发表留言,管理员可以进行回复和管理。
-
管理员功能:管理员可以对用户信息、景点分类、景点信息、景点攻略、旅游路线、出行方式和留言板进行管理,确保平台信息的准确性和完整性。
通过这些功能的实现,该系统不仅为游客提供了便捷的旅游信息获取渠道,还通过智能推荐帮助游客更好地规划行程,提升旅游体验。同时,系统的管理员功能也确保了平台的高效运营和信息的及时更新。
注:以上是纯课题毕业设计功能介绍,并非实际开发完成,最终开发完成的毕业设计程序以下面的的环境软件、功能图和界面为准。
系统所需要的环境软件:idea、eclipse+mysql5.7、8.0+Navicat+JDK1.8+tomcat7.0
3.1可行性分析
在开发系统之前要进行系统可行性分析,目的是在用最简单的方法去解决最大的问题,程序一旦开发出来满足了用户的需要,所带来的利益也很多。下面我们将从技术、操作、经济等方面来选择这个系统最终是否开发。
3.1.1技术可行性
本系统开发选择HBuilder X技术,SpringBoot框架,大大减少了使用windows编程的难度,减少开发人员在设计算法上的难度,作为java开发 Visual Studio更是一个必不可少的角色,它友好的界面,以及强大的功能,给程序开发人员带来了很多方便,加上环境简单,转移方便,无疑使此系统最佳的选择。所以后端设计选择使用MySQL数据库主要用来的建立和维护信息。对于前端开发要求应具备功能完善、易于操作等优点,后端数据库的要求则是能够建立和维护数据信息的统一性和完整性。
依据上述目标来分析本系统的硬件如下:
奔腾3的处理器;
内存是 2G;
硬盘是50G;
操作系统是Window 10;
在软件方面的话,安装了Visul Studio 0 和MySQL数据库开发工具。根据以上的软件与硬件要求,得到这个系统的技术是可行的。
3.1.2经济可行性
西安市旅游推荐app,该系统软件开发仅需要一台普通的计算机便可完成实现开发,其成本很低。另外,作为毕业设计作品来讲,开发成本基本上可以忽略不计,且该系统软件的投入使用,可以实现更加快速高效的西安市旅游推荐app,同时还能实现对人力资源和管理资源的有效节约,该西安市旅游推荐app在经济上完全可行。
3.1.3操作可行性
本系统采用基于移动端用安卓手机安装软件就能够进行访问和操作,且界面简单易操作,用户只要平时有在用过智能手机,就能下载HBuilder X,西安市旅游推荐app的可操作性,主要是随着网络技术发展太快,平台可以支持很多内容,但是如何让平台可以使用更长的时间或者说如何让平台的性价比更高一些,平台在开发使用CMS的互操作性意味着后端数据信息的同时管理,计算机网络控制的高效简便时代很大程度的提高了工作的效率和准确度。对于数据化管理可以更好的提高工作效率,所以系统的操作问题是可行的。
3.1.4 运行可行性
本系统作为以java作为开发语言的系统,而且选用B/S结构则决定了要操作本系统仅需要占用很小的资源,并没有过多地硬件配置要求,目前市面上只要能正常运行浏览器的个人电脑都可以正常运行使用该系统。
经过总结,本系统在经济方面、技术方面、操作方面和运行方面的条件都得以满足,为此系统的开发具备了可行性条件。
3.2网站性能需求分析
对网站性能进行分析,可对系统反应度、界面简洁清晰度、储存能性、易学性和稳定性进行分析;
系统反应度:同时上万人在线时反应时间应该在两三秒以内。
界面简洁清晰:系统界面要求简单明了,操作简单,用户操作容易上手。
储存性能高:西安市旅游推荐app中需要存储的信息有很多,所以对系统的存储量要求很高,因此数据库就应该很强大,才能保证信息能安全稳定的进行存储;
易学性:该系统在操作上必须简单好上手,没有很多复杂的操作,只需要简单的进行学习就能操作该系统。
稳定性:要求西安市旅游推荐app运行要稳定,界面清楚、字体清晰等。
3.3网站功能分析
考虑到实际生活中西安市旅游推荐app方面的需要以及对该平台认真的分析,将系统权限按管理员和用户这两类涉及用户划分。
(a) 管理员;管理员使用本系统涉到的功能主要有:首页、个人中心、用户管理、景点分类管理、景点信息管理、景点攻略管理、旅游路线管理、出行方式管理、留言板管理、系统管理等功能。管理员用例图如图3-1所示。

图3-1 管理员用例图
(b) 用户;进入系统可以实现首页、个人中心、景点攻略管理、我的收藏管理等功能进行操作。用户用例图如图3-2所示。

图3-2用户用例图
3.4系统流程的分析
由于不同的系统实际使用用户角色的不同,他们的业务分析也会变得有所不一样,为了论述方便接下来都将以管理员和用户功能权限下的系统业务流程来分析,如下图所展示:
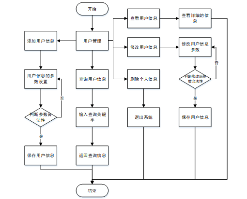
3.4.1 用户管理的流程

图3-3 用户管理流程
3.4.2 个人中心管理流程

图3-4 个人中心管理流程
3.4.3 登录流程

图3-5 登录流程
4系统设计
4.1 软件功能模块设计
网站整功能如下图所示:

图 4-1 旅游推荐app总体功能模块图
4.2 数据库设计与实现
在每一个系统中数据库有着非常重要的作用,数据库的设计得好将会增加系统的效率以及系统各逻辑功能的实现。所以数据库的设计我们要从系统的实际需要出发,才能使其更为完美的符合系统功能的实现。
4.2.1 概念模型设计
概念模型是对现实中的问题出现的事物的进行描述,ER图是由实体及其关系构成的图,通过E-R图可以清楚地描述系统涉及到的实体之间的相互关系。
用户信息实体图如图4-2所示:

图4-2用户信息实体图
景点攻略信息实体图如图4-3所示:

图4-3景点攻略信息实体图
景点信息实体图如图4-4所示:

图4-4景点信息实体图
5.1用户前端功能模块
用户登录,通过输入账号,密码,并点击登录进行系统登录操作,如图5-1所示。

图5-1用户登录界面图
西安市旅游推荐app,在首页可以查看首页、景点信息、旅游路线、地图、我的等内容进行详细操作,如图5-2所示。

图5-2 首页界面图
景点信息,在景点信息页面可以查看景点名称、分类、景点图片、景点等级、景点地址、开放时间、点击次数、景点介绍等详细内容,可进行评论、收藏等操作,如图5-3所示。

图5-3景点信息界面图
旅游路线,在旅游路线页面可以查看路线名称、路线图片、游玩景点、景点数量、游玩时间、路线详情等详细内容,可进行评论、收藏等操作,如图5-4所示。

图5-4旅游路线界面图
我的,在我的页面可以对景点攻略、我的收藏管理、留言板等功能进行详细操作,如图5-5所示。

图5-5我的界面图
用户信息,在用户信息页面通过填写用户名、密码、姓名、头像、性别、手机等详细内容进行保存操作,如图5-6所示。

图5-6用户信息界面图
出行方式,在出行方式页面通过查看景点名称、景点图片、交通工具、出行详情等详细内容进行评论、收藏等操作,如图5-7所示。

图5-7出行方式界面图
留言板,在留言板页面通过填写用户名、留言内容、留言图片等内容,进行提交操作,如图5-8所示。

图5-8留言板界面图
5.2管理员后端功能模块
管理员登录,管理员通过输入用户名,密码,选择角色等信息即可进行系统登录,如图5-9所示。

图5-9管理员登录界面图
管理员登录进入西安市旅游推荐app查看首页、个人中心、用户管理、景点分类管理、景点信息管理、景点攻略管理、旅游路线管理、出行方式管理、留言板管理、系统管理等内容进行详细操作,如图5-10所示。

图5-10管理员功能界面图
用户管理,在用户管理页面可以查看用户名、姓名、头像、性别、手机等信息,并可根据需要对用户管理进行详情,修改或删除等操作,如图5-11所示。

图5-11用户管理界面图
景点分类管理,在景点分类管理页面可以新增景点分类等信息,并可根据需要对景点分类管理进行详情,修改或删除等操作,如图5-12所示。

图5-12景点分类管理界面图
景点信息管理,在景点信息管理页面可以查看景点名称、分类、景点图片、景点等级、景点地址、开放时间等信息,并可根据需要对景点信息管理进行详情,修改或删除等操作,如图5-13所示。

图5-13景点信息管理界面图
景点攻略管理,在景点攻略管理页面可以查看标题、景点、封面、发布时间、用户名等信息,并可根据需要对景点攻略管理进行详情、修改或删除等操作,如图5-14所示。

图5-14景点攻略管理界面图
旅游路线管理,在旅游路线管理页面可以查看路线名称、路线图片、游玩景点、景点数量、游玩时间等信息,并可根据需要对旅游路线管理进行详情,修改或删除等操作,如图5-15所示。

图5-15旅游路线管理界面图
源码无偿分享,文未领取
网硕互联帮助中心








评论前必须登录!
注册