一、树
1.1什么是树?
树是一种非线性的数据结构,它有n个有限结点组成的一个具有层次关系的集合,形状上可以比作一颗倒挂的树,所以我们称作树,树的特点是根在上,叶在下。
- 有一个特殊的结点,称为根结点,根结点没有前驱节点
- 除了根结点之外,其余结点被分成M(M>0)个互不相交的集合T1,T2,……,Tm,其中每一个集合又是一棵结构与树类似的子树。每棵字数的根结点有且只有一个前驱(父节点),可以有大于等于0个后续(子结点)
- 树是递归定义的

注意:任意子树之间不可有交集否则就不是树
1.2树的相关概念

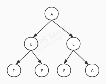
- 结点的度:一个结点含有的子树的个数称为该结点的度; 如上图:A的度为6
- 叶结点或终端结点:度为0的结点称为叶结点; 如上图:B、C、H、I…等结点为叶结点
- 非终端结点或分支结点:度不为0的结点; 如上图:D、E、F、G…等结点为分支结点
- 双亲结点或父结点:若一个结点含有子结点,则这个结点称为其子结点的父结点; 如上图:A是B的父结点
- 孩子结点或子结点:一个结点含有的子树的根结点称为该结点的子结点; 如上图:B是A的孩子结点
- 兄弟结点:具有相同父结点的结点互称为兄弟结点; 如上图:B、C是兄弟结点
- 树的度:一棵树中,最大的结点的度称为树的度; 如上图:树的度为6
- 结点的层次:从根开始定义起,根为第1层,根的子结点为第2层,以此类推
- 树的高度或深度:树中结点的最大层次; 如上图:树的高度为4
- 堂兄弟结点:双亲在同一层的结点互为堂兄弟;如上图:H、I互为兄弟结点
- 结点的祖先:从根到该结点所经分支上的所有结点;如上图:A是所有结点的祖先
- 子孙:以某结点为根的子树中任一结点都称为该结点的子孙。如上图:所有结点都是A的子孙
- 森林:由m(m>0)棵互不相交的树的集合称为森林
1.3树的表示
树的结构相对线性表比较复杂,要存储表示起来比较麻烦,既要保存值也要保存结点和结点之间的关系,实际操作中树有很多种表示方法:如双亲表示法,孩子表示法,孩子双亲表示法以及孩子兄弟表示法等等。这里我们就简单了解其中一种最常用的:左孩子,右兄弟表示法。
typedef int DataType;
struct Node
{
struct Node* firstChild1; // 第一个孩子结点
struct Node* pNextBrother; // 指向其下一个兄弟结点
DataType data; // 结点中的数据域
};
直观展示:

1.4树在实际中的运用
电脑的文件管理器,C盘或D盘可以看作一个根结点,它的下一级文件夹作为它的子结点,这些子文件夹又有下一级子文件夹作为它们的子结点,所以这些子文件夹同时也扮演父节点的角色。
二、二叉树
2.1二叉树的概念
二叉树是树的子集,一棵二叉树是一个包含有限个结点的集合,或者说是结点的一个有限集合,该集合的特点:

注意:对于任意的二叉树都是由以下几种情况复合组成

现实中的二叉树:

2.2特殊的二叉树
2.2.1满二叉树

如图,一个二叉树,如果每一个层的结点数都达到最大值,则这个二叉树就是满二叉树。也就是说,如果一个二叉树的层数为K,且结点总数是2k−12^k-12k−1,则它就是满二叉树。
2.2.2完全二叉树

如图,完全二叉树是效率很高的数据结构,完全二叉树是由满二叉树而引出来的。对于深度为K的,有n个结点的二叉树,当且仅当其每一个结点都与深度为K的满二叉树中编号从1至n的结点一一对应时称之为完全二叉树。 要注意的是满二叉树是一种特殊的完全二叉树。
注意满二叉树是一种特殊的完全二叉树
2.3二叉树的性质(重要)
/*
* 假设二叉树有N个结点
* 从总结点数角度考虑:N = n0 + n1 + n2 ①
*
* 从边的角度考虑,N个结点的任意二叉树,总共有N-1条边
* 因为二叉树中每个结点都有双亲,根结点没有双亲,每个节点向上与其双亲之间存在一条边
* 因此N个结点的二叉树总共有N-1条边
*
* 因为度为0的结点没有孩子,故度为0的结点不产生边; 度为1的结点只有一个孩子,故每个度为1的结
点* * 产生一条边; 度为2的结点有2个孩子,故每个度为2的结点产生两条边,所以总边数为:
n1+2*n2
* 故从边的角度考虑:N-1 = n1 + 2*n2 ②
* 结合① 和 ②得:n0 + n1 + n2 = n1 + 2*n2 – 1
* 即:n0 = n2 + 1
*/
更多性质:
- 若规定根结点的层数为1,具有n个结点的满二叉树的深度,h=以2为底(n+1)的对数。
- 对于具有n个结点的完全二叉树,如果按照从上至下从左至右的数组顺序对所有结点从0开始编号,则对于序号为i的结点有:
- 若i>0,i位置结点的双亲序号:(i-1)/2;i=0,i为根结点编号,无双亲结点
- 若2i+1<n,左孩子序号:2i+1,2i+1>=n否则无左孩子
- 若2i+2<n,右孩子序号:2i+2,2i+2>=n否则无右孩子
2.4二叉树的存储
用数组存储二叉树具有天然的优势,用数组的这种存储,我们称之为顺序存储,一般使用数组只适合表示完全二叉树,因为不是完全二叉树会有空间的浪费。而现实中使用中只有堆才会使用数组来存储,关于堆我们后面的章节会专门讲解。二叉树顺序存储在物理上是一个数组,在逻辑上是一颗二叉树。

当然二叉树也可以用链式结构进行存储,这里不作介绍。
三、堆
堆是完全二叉树的一种,结构上必须严格遵守完全二叉树的规则,在此基础上再满足值的大小规则(大根堆/小根堆)。

四、结于
本篇主要介绍C语言中的数据结构,树,详细介绍了树的概念何性质,以及存储结构,并借此引出了堆的介绍,堆是完全二叉树,且分为大堆和小堆,大堆的任意父节点的值大于其子结点的值,小堆则相反,这是堆特有的值的规则,光有完全二叉树的结构特性而不满足值的规则,则不构成堆。
若文中存在任何错误,欢迎各位批评指正,大家共同进步
网硕互联帮助中心




评论前必须登录!
注册