二叉树理论基础
二叉树类型
满二叉树
满二叉树:如果一棵二叉树只有度为0的结点和度为2的结点,并且度为0的结点在同一层上,则这棵二叉树为满二叉树。
如图所示:

这棵二叉树为满二叉树,也可以说深度为k,有2^k-1个节点的二叉树。
完全二叉树
什么是完全二叉树?
完全二叉树的定义如下:在完全二叉树中,除了最底层节点可能没填满外,其余每层节点数都达到最大值,并且最下面一层的节点都集中在该层最左边的若干位置。若最底层为第 h 层(h从1开始),则该层包含 1~ 2^(h-1) 个节点。
二叉搜索树
前面介绍的树,都没有数值的,而二叉搜索树是有数值的了,二叉搜索树是一个有序树。
- 若它的左子树不空,则左子树上所有结点的值均小于它的根结点的值;
- 若它的右子树不空,则右子树上所有结点的值均大于它的根结点的值;
- 它的左、右子树也分别为二叉排序树
平衡二叉搜索树
平衡二叉搜索树:又被称为AVL(Adelson-Velsky and Landis)树,且具有以下性质:它是一棵空树或它的左右两个子树的高度差的绝对值不超过1,并且左右两个子树都是一棵平衡二叉树。
如图:

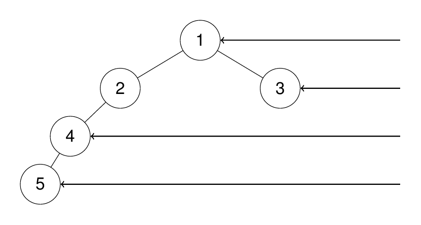
二叉树的存储方式
链式存储

顺序存储

如果父节点的数组下标是 i,那么它的左孩子就是 i * 2 + 1,右孩子就是 i * 2 + 2。
二叉树的遍历方式
二叉树主要有两种遍历方式:
-
深度优先遍历
- 前序遍历(递归法,迭代法)
- 中序遍历(递归法,迭代法)
- 后序遍历(递归法,迭代法)
一般采用递归来实现,而栈是实现递归的一种常用结构
-
广度优先遍历
- 层次遍历(迭代法)
一般采用队列来实现
二叉树的定义
public class TreeNode {
int val;
TreeNode left;
TreeNode right;
TreeNode() {}
TreeNode(int val) { this.val = val; }
TreeNode(int val, TreeNode left, TreeNode right) {
this.val = val;
this.left = left;
this.right = right;
}
}
三种构造方法,分别是啥都不传,只传节点值,传节点值和左右指针指向
递归遍历
题目链接/文章讲解/视频讲解:https://programmercarl.com/%E4%BA%8C%E5%8F%89%E6%A0%91%E7%9A%84%E9%80%92%E5%BD%92%E9%81%8D%E5%8E%86.html
递归算法的三个要素,每次写递归,都按照这三要素来写,可以保证写出正确的递归算法!
确定递归函数的参数和返回值: 确定哪些参数是递归的过程中需要处理的,那么就在递归函数里加上这个参数, 并且还要明确每次递归的返回值是什么进而确定递归函数的返回类型。
确定终止条件: 写完了递归算法, 运行的时候,经常会遇到栈溢出的错误,就是没写终止条件或者终止条件写的不对,操作系统也是用一个栈的结构来保存每一层递归的信息,如果递归没有终止,操作系统的内存栈必然就会溢出。
确定单层递归的逻辑: 确定每一层递归需要处理的信息。在这里也就会重复调用自己来实现递归的过程。
// 前序遍历·递归·LC144_二叉树的前序遍历
class Solution {
public List<Integer> preorderTraversal(TreeNode root) {
List<Integer> result = new ArrayList<Integer>();
preorder(root, result);
return result;
}
public void preorder(TreeNode root, List<Integer> result) {
if (root == null) {
return;
}
result.add(root.val);
preorder(root.left, result);
preorder(root.right, result);
}
}
// 中序遍历·递归·LC94_二叉树的中序遍历
class Solution {
public List<Integer> inorderTraversal(TreeNode root) {
List<Integer> res = new ArrayList<>();
inorder(root, res);
return res;
}
void inorder(TreeNode root, List<Integer> list) {
if (root == null) {
return;
}
inorder(root.left, list);
list.add(root.val); // 注意这一句
inorder(root.right, list);
}
}
// 后序遍历·递归·LC145_二叉树的后序遍历
class Solution {
public List<Integer> postorderTraversal(TreeNode root) {
List<Integer> res = new ArrayList<>();
postorder(root, res);
return res;
}
void postorder(TreeNode root, List<Integer> list) {
if (root == null) {
return;
}
postorder(root.left, list);
postorder(root.right, list);
list.add(root.val); // 注意这一句
}
}
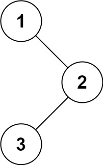
前序遍历
给你二叉树的根节点 root ,返回它节点值的 前序 遍历。
示例 1:
输入:root = [1,null,2,3]
输出:[1,2,3]
解释:

示例 2:
输入:root = [1,2,3,4,5,null,8,null,null,6,7,9]
输出:[1,2,4,5,6,7,3,8,9]
解释:

示例 3:
输入:root = []
输出:[]
示例 4:
输入:root = [1]
输出:[1]
/**
* Definition for a binary tree node.
* public class TreeNode {
* int val;
* TreeNode left;
* TreeNode right;
* TreeNode() {}
* TreeNode(int val) { this.val = val; }
* TreeNode(int val, TreeNode left, TreeNode right) {
* this.val = val;
* this.left = left;
* this.right = right;
* }
* }
*/
class Solution {
public List<Integer> preorderTraversal(TreeNode root) {
List<Integer> list=new ArrayList<>();
preorder(root,list);
return list;
}
public void preorder(TreeNode root,List<Integer> list){
if(root==null){
return;
}
list.add(root.val);
preorder(root.left,list);
preorder(root.right,list);
}
}
前序遍历决定 list.add(root.val)在最前
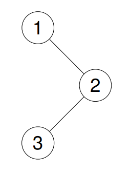
中序遍历
给定一个二叉树的根节点 root ,返回 它的 中序 遍历 。
示例 1:

输入:root = [1,null,2,3]
输出:[1,3,2]
示例 2:
输入:root = []
输出:[]
示例 3:
输入:root = [1]
输出:[1]
/**
* Definition for a binary tree node.
* public class TreeNode {
* int val;
* TreeNode left;
* TreeNode right;
* TreeNode() {}
* TreeNode(int val) { this.val = val; }
* TreeNode(int val, TreeNode left, TreeNode right) {
* this.val = val;
* this.left = left;
* this.right = right;
* }
* }
*/
class Solution {
public List<Integer> inorderTraversal(TreeNode root) {
List<Integer> list=new ArrayList<>();
inorder(root,list);
return list;
}
public void inorder(TreeNode root,List<Integer> list){
if(root==null){
return;
}
inorder(root.left,list);
list.add(root.val);
inorder(root.right,list);
}
}
后序遍历
给你一棵二叉树的根节点 root ,返回其节点值的 后序遍历 。
示例 1:
输入:root = [1,null,2,3]
输出:[3,2,1]
解释:

示例 2:
输入:root = [1,2,3,4,5,null,8,null,null,6,7,9]
输出:[4,6,7,5,2,9,8,3,1]
解释:

示例 3:
输入:root = []
输出:[]
示例 4:
输入:root = [1]
输出:[1]
/**
* Definition for a binary tree node.
* public class TreeNode {
* int val;
* TreeNode left;
* TreeNode right;
* TreeNode() {}
* TreeNode(int val) { this.val = val; }
* TreeNode(int val, TreeNode left, TreeNode right) {
* this.val = val;
* this.left = left;
* this.right = right;
* }
* }
*/
class Solution {
public List<Integer> postorderTraversal(TreeNode root) {
List<Integer> list=new ArrayList<>();
postorder(root,list);
return list;
}
public void postorder(TreeNode root,List<Integer> list){
if(root==null){
return;
}
postorder(root.left,list);
postorder(root.right,list);
list.add(root.val);
}
}
迭代遍历
统一迭代
层序遍历
题目链接/文章讲解/视频讲解:
https://programmercarl.com/0102.%E4%BA%8C%E5%8F%89%E6%A0%91%E7%9A%84%E5%B1%82%E5%BA%8F%E9%81%8D%E5%8E%86.html
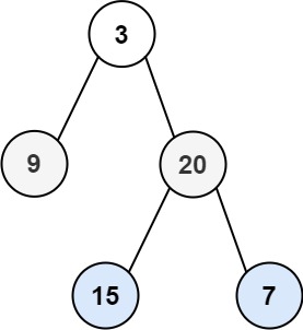
给你二叉树的根节点 root ,返回其节点值的 层序遍历 。 (即逐层地,从左到右访问所有节点)。
示例 1:

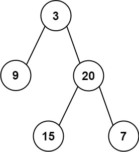
输入:root = [3,9,20,null,null,15,7]
输出:[[3],[9,20],[15,7]]
示例 2:
输入:root = [1]
输出:[[1]]
示例 3:
输入:root = []
输出:[]
/**
* Definition for a binary tree node.
* public class TreeNode {
* int val;
* TreeNode left;
* TreeNode right;
* TreeNode() {}
* TreeNode(int val) { this.val = val; }
* TreeNode(int val, TreeNode left, TreeNode right) {
* this.val = val;
* this.left = left;
* this.right = right;
* }
* }
*/
class Solution {
List<List<Integer>> list=new ArrayList<List<Integer>>();
public List<List<Integer>> levelOrder(TreeNode root) {
if(root==null)return list;
Queue<TreeNode> queue=new LinkedList<TreeNode>();
queue.offer(root);
while(!queue.isEmpty()){
int size=queue.size();
List<Integer> templist=new ArrayList<Integer>();
while(size>0){
TreeNode node=queue.poll();
templist.add(node.val);
size–;
if(node.left!=null)queue.offer(node.left);
if(node.right!=null)queue.offer(node.right);
}
list.add(templist);
}
return list;
}
}
用队列进行解决,遍历一个节点,就把这个节点弹出,并把这个节点的左右节点存入队列,直到队列为空(最后弹出的节点左右节点都为空)
102.二叉树的层序遍历
- 102.二叉树的层序遍历(opens new window)
就是这道母题不再赘述
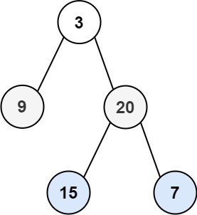
107.二叉树的层序遍历II
- 107.二叉树的层序遍历II(opens new window)
给你二叉树的根节点 root ,返回其节点值 自底向上的层序遍历 。 (即按从叶子节点所在层到根节点所在的层,逐层从左向右遍历)
示例 1:

输入:root = [3,9,20,null,null,15,7]
输出:[[15,7],[9,20],[3]]
示例 2:
输入:root = [1]
输出:[[1]]
示例 3:
输入:root = []
输出:[]
/**
* Definition for a binary tree node.
* public class TreeNode {
* int val;
* TreeNode left;
* TreeNode right;
* TreeNode() {}
* TreeNode(int val) { this.val = val; }
* TreeNode(int val, TreeNode left, TreeNode right) {
* this.val = val;
* this.left = left;
* this.right = right;
* }
* }
*/
class Solution {
List<List<Integer>> list=new LinkedList<List<Integer>>();
public List<List<Integer>> levelOrderBottom(TreeNode root) {
if(root==null)return list;
Queue<TreeNode> queue=new LinkedList<TreeNode>();
queue.offer(root);
while(!queue.isEmpty()){
int size=queue.size();
List<Integer> templist=new ArrayList<Integer>();
while(size>0){
TreeNode node=queue.poll();
templist.add(node.val);
size–;
if(node.left!=null)queue.offer(node.left);
if(node.right!=null)queue.offer(node.right);
}
list.addFirst(templist);
}
return list;
}
}
list.addFirst(templist);直接将每层元素的集合添加到list集合的最前面即可(避免倒序操作)
199.二叉树的右视图
- 199.二叉树的右视图(opens new window)
给定一个二叉树的 根节点 root,想象自己站在它的右侧,按照从顶部到底部的顺序,返回从右侧所能看到的节点值。
示例 1:
输入:root = [1,2,3,null,5,null,4]
输出:[1,3,4]
解释:

示例 2:
输入:root = [1,2,3,4,null,null,null,5]
输出:[1,3,4,5]
解释:

示例 3:
输入:root = [1,null,3]
输出:[1,3]
示例 4:
输入:root = []
输出:[]
/**
* Definition for a binary tree node.
* public class TreeNode {
* int val;
* TreeNode left;
* TreeNode right;
* TreeNode() {}
* TreeNode(int val) { this.val = val; }
* TreeNode(int val, TreeNode left, TreeNode right) {
* this.val = val;
* this.left = left;
* this.right = right;
* }
* }
*/
class Solution {
List<Integer> list=new ArrayList<Integer>();
public List<Integer> rightSideView(TreeNode root) {
if(root==null)return list;
Queue<TreeNode> queue=new LinkedList<TreeNode>();
queue.offer(root);
while(!queue.isEmpty()){
int size=queue.size();
while(size>0){
TreeNode node=queue.poll();
if(size==1){
list.add(node.val);
}
size–;
if(node.left!=null)queue.offer(node.left);
if(node.right!=null)queue.offer(node.right);
}
}
return list;
}
}
其实就是把每层元素集合中的最后一个元素添加到list集合中就行
637.二叉树的层平均值
- 637.二叉树的层平均值(opens new window)
给定一个非空二叉树的根节点 root , 以数组的形式返回每一层节点的平均值。与实际答案相差 10-5 以内的答案可以被接受。
示例 1:

输入:root = [3,9,20,null,null,15,7]
输出:[3.00000,14.50000,11.00000]
解释:第 0 层的平均值为 3,第 1 层的平均值为 14.5,第 2 层的平均值为 11 。
因此返回 [3, 14.5, 11] 。
示例 2:

输入:root = [3,9,20,15,7]
输出:[3.00000,14.50000,11.00000]
/**
* Definition for a binary tree node.
* public class TreeNode {
* int val;
* TreeNode left;
* TreeNode right;
* TreeNode() {}
* TreeNode(int val) { this.val = val; }
* TreeNode(int val, TreeNode left, TreeNode right) {
* this.val = val;
* this.left = left;
* this.right = right;
* }
* }
*/
class Solution {
List<Double> list =new ArrayList<Double>();
public List<Double> averageOfLevels(TreeNode root) {
if(root==null)return list;
Queue<TreeNode> queue=new LinkedList<TreeNode>();
queue.offer(root);
while(!queue.isEmpty()){
int size=queue.size();
int size1=queue.size();
double num=0.0;
while(size>0){
TreeNode node=queue.poll();
num+=node.val;
size–;
if(node.left!=null)queue.offer(node.left);
if(node.right!=null)queue.offer(node.right);
}
list.add(num/size1);
}
return list;
}
}
计算每层的平均值存入list即可
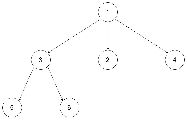
429.N叉树的层序遍历
- 429.N叉树的层序遍历(opens new window)
给定一个 N 叉树,返回其节点值的层序遍历。(即从左到右,逐层遍历)。
树的序列化输入是用层序遍历,每组子节点都由 null 值分隔(参见示例)。
示例 1:

输入:root = [1,null,3,2,4,null,5,6]
输出:[[1],[3,2,4],[5,6]]
示例 2:

输入:root = [1,null,2,3,4,5,null,null,6,7,null,8,null,9,10,null,null,11,null,12,null,13,null,null,14]
输出:[[1],[2,3,4,5],[6,7,8,9,10],[11,12,13],[14]]
/*
// Definition for a Node.
class Node {
public int val;
public List<Node> children;
public Node() {}
public Node(int _val) {
val = _val;
}
public Node(int _val, List<Node> _children) {
val = _val;
children = _children;
}
};
*/
class Solution {
List<List<Integer>> list=new ArrayList<List<Integer>>();
public List<List<Integer>> levelOrder(Node root) {
if(root==null)return list;
Queue<Node> queue=new LinkedList<Node>();
queue.offer(root);
while(!queue.isEmpty()){
int size=queue.size();
List<Integer> templist=new ArrayList<Integer>();
while(size>0){
Node node=queue.poll();
templist.add(node.val);
size–;
for(Node node1:node.children){
if(node1!=null)queue.offer(node1);
}
}
list.add(templist);
}
return list;
}
}
其实本质上和二叉树一样,二叉树是两个孩子节点,N叉树是n个孩子节点
515.在每个树行中找最大值
- 515.在每个树行中找最大值(opens new window)
给定一棵二叉树的根节点 root ,请找出该二叉树中每一层的最大值。
示例1:

输入: root = [1,3,2,5,3,null,9]
输出: [1,3,9]
示例2:
输入: root = [1,2,3]
输出: [1,3]
/**
* Definition for a binary tree node.
* public class TreeNode {
* int val;
* TreeNode left;
* TreeNode right;
* TreeNode() {}
* TreeNode(int val) { this.val = val; }
* TreeNode(int val, TreeNode left, TreeNode right) {
* this.val = val;
* this.left = left;
* this.right = right;
* }
* }
*/
class Solution {
List<Integer> list=new ArrayList<Integer>();
public List<Integer> largestValues(TreeNode root) {
if(root==null)return list;
Queue<TreeNode> queue=new LinkedList<TreeNode>();
queue.offer(root);
while(!queue.isEmpty()){
int size=queue.size();
int max=Integer.MIN_VALUE;
while(size>0){
TreeNode node=queue.poll();
if(node.val>max)max=node.val;
size–;
if(node.left!=null)queue.offer(node.left);
if(node.right!=null)queue.offer(node.right);
}
list.add(max);
}
return list;
}
}
每层元素找出最大值,然后把最大值存入list就行
116.填充每个节点的下一个右侧节点指针
- 116.填充每个节点的下一个右侧节点指针(opens new window)
给定一个 完美二叉树 ,其所有叶子节点都在同一层,每个父节点都有两个子节点。二叉树定义如下:
struct Node {
int val;
Node *left;
Node *right;
Node *next;
}
填充它的每个 next 指针,让这个指针指向其下一个右侧节点。如果找不到下一个右侧节点,则将 next 指针设置为 NULL。
初始状态下,所有 next 指针都被设置为 NULL。
示例 1:

输入:root = [1,2,3,4,5,6,7]
输出:[1,#,2,3,#,4,5,6,7,#]
解释:给定二叉树如图 A 所示,你的函数应该填充它的每个 next 指针,以指向其下一个右侧节点,如图 B 所示。序列化的输出按层序遍历排列,同一层节点由 next 指针连接,'#' 标志着每一层的结束。
示例 2:
输入:root = []
输出:[]
/*
// Definition for a Node.
class Node {
public int val;
public Node left;
public Node right;
public Node next;
public Node() {}
public Node(int _val) {
val = _val;
}
public Node(int _val, Node _left, Node _right, Node _next) {
val = _val;
left = _left;
right = _right;
next = _next;
}
};
*/
class Solution {
public Node connect(Node root) {
if(root==null)return root;
Queue<Node> queue=new LinkedList<Node>();
queue.offer(root);
while(!queue.isEmpty()){
int size=queue.size();
while(size>0){
Node node=queue.poll();
if(size>1){
node.next=queue.peek();
}else{
node.next=null;
}
size–;
if(node.left!=null)queue.offer(node.left);
if(node.right!=null)queue.offer(node.right);
}
}
return root;
}
}
看似变了,其实还是没有变,只要把队列poll的每个节点的next指向队列的新队首(peek)就行
117.填充每个节点的下一个右侧节点指针II
- 117.填充每个节点的下一个右侧节点指针II(opens new window)
给定一个二叉树:
struct Node {
int val;
Node *left;
Node *right;
Node *next;
}
填充它的每个 next 指针,让这个指针指向其下一个右侧节点。如果找不到下一个右侧节点,则将 next 指针设置为 NULL 。
初始状态下,所有 next 指针都被设置为 NULL 。
示例 1:

输入:root = [1,2,3,4,5,null,7]
输出:[1,#,2,3,#,4,5,7,#]
解释:给定二叉树如图 A 所示,你的函数应该填充它的每个 next 指针,以指向其下一个右侧节点,如图 B 所示。序列化输出按层序遍历顺序(由 next 指针连接),'#' 表示每层的末尾。
示例 2:
输入:root = []
输出:[]
/*
// Definition for a Node.
class Node {
public int val;
public Node left;
public Node right;
public Node next;
public Node() {}
public Node(int _val) {
val = _val;
}
public Node(int _val, Node _left, Node _right, Node _next) {
val = _val;
left = _left;
right = _right;
next = _next;
}
};
*/
class Solution {
public Node connect(Node root) {
if(root==null)return root;
Queue<Node> queue=new LinkedList<Node>();
queue.offer(root);
while(!queue.isEmpty()){
int size=queue.size();
while(size>0){
Node node=queue.poll();
if(size>1){
node.next=queue.peek();
}else{
node.next=null;
}
size–;
if(node.left!=null)queue.offer(node.left);
if(node.right!=null)queue.offer(node.right);
}
}
return root;
}
}
和上面那题一样,连代码都一样
104.二叉树的最大深度
- 104.二叉树的最大深度(opens new window)
给定一个二叉树 root ,返回其最大深度。
二叉树的 最大深度 是指从根节点到最远叶子节点的最长路径上的节点数。
示例 1:

输入:root = [3,9,20,null,null,15,7]
输出:3
示例 2:
输入:root = [1,null,2]
输出:2
/**
* Definition for a binary tree node.
* public class TreeNode {
* int val;
* TreeNode left;
* TreeNode right;
* TreeNode() {}
* TreeNode(int val) { this.val = val; }
* TreeNode(int val, TreeNode left, TreeNode right) {
* this.val = val;
* this.left = left;
* this.right = right;
* }
* }
*/
class Solution {
public int maxDepth(TreeNode root) {
int num=0;
if(root==null)return num;
Queue<TreeNode> queue=new LinkedList<TreeNode>();
queue.offer(root);
while(!queue.isEmpty()){
int size=queue.size();
while(size>0){
TreeNode node=queue.poll();
size–;
if(node.left!=null)queue.offer(node.left);
if(node.right!=null)queue.offer(node.right);
}
num++;
}
return num;
}
}
只需要返回循环的次数即可
111.二叉树的最小深度
- 111.二叉树的最小深度
给定一个二叉树,找出其最小深度。
最小深度是从根节点到最近叶子节点的最短路径上的节点数量。
说明:叶子节点是指没有子节点的节点。
示例 1:

输入:root = [3,9,20,null,null,15,7]
输出:2
示例 2:
输入:root = [2,null,3,null,4,null,5,null,6]
输出:5
/**
* Definition for a binary tree node.
* public class TreeNode {
* int val;
* TreeNode left;
* TreeNode right;
* TreeNode() {}
* TreeNode(int val) { this.val = val; }
* TreeNode(int val, TreeNode left, TreeNode right) {
* this.val = val;
* this.left = left;
* this.right = right;
* }
* }
*/
class Solution {
public int minDepth(TreeNode root) {
int num=0;
if(root==null)return num;
Queue<TreeNode> queue=new LinkedList<TreeNode>();
queue.offer(root);
while(!queue.isEmpty()){
int size=queue.size();
while(size>0){
TreeNode node=queue.poll();
size–;
if(node.left!=null)queue.offer(node.left);
if(node.right!=null)queue.offer(node.right);
num++;
if(node.left==null&&node.right==null)return num;
}
}
return num;
}
}
就是添加一个return,第一次左右子节点都是null的时候,return num
网硕互联帮助中心





评论前必须登录!
注册